• Предмет: Математика
  • Автор: gubakostantin
  • Вопрос задан 7 лет назад

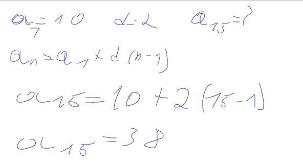
Знайдіть п'ятнадцятий член арифметичної прогресії (а), якщо a = 10, d = 2. пж срочно​

Ответы

Ответ дал: ak1ta
0

Ответ:

Пошаговое объяснение:

Приложения:
Вас заинтересует