• Предмет: Алгебра
  • Автор: nazartokmakov
  • Вопрос задан 7 лет назад

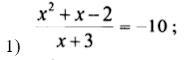
решите через ОДЗ пожалуйста

Приложения:

Ответы

Ответ дал: xacku2020
1

ОДЗ х+3≠0 , х≠-3

\frac{x^{2}+x-2 }{x+3} =-\frac{10}{1} , x²+x-2=-10(x+3) , x²+x-2=-10x-30,

x²+11x+28=0 , x₁+x₂=-11 , x₁*x₂=28 ⇒ x₁=-7 ,x₂=-4 оба подходят под ОДЗ

Ответ x₁=-7 ,x₂=-4


nazartokmakov: спасибо!
Вас заинтересует