• Предмет: Математика
  • Автор: KamaliYA56
  • Вопрос задан 7 лет назад

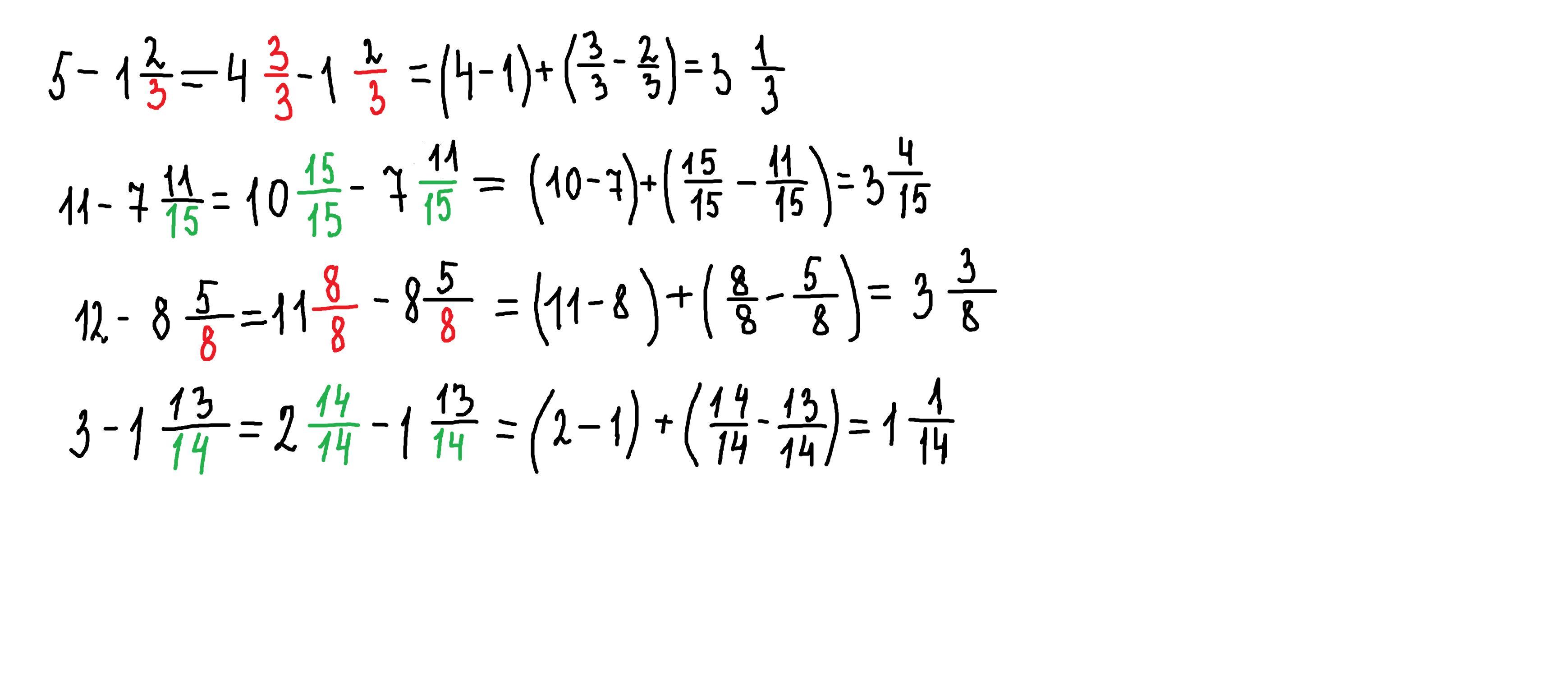
Найдите разность:
а) 5-1 2/3;
б) 11-7 11/15;
в) 12-8 5/8;
г) 3-1 13/14

Ответы

Ответ дал: ztemaxztemax6
2

Ответ:

вот ща напишу ааа 5- 12/3=4 3/3 - 12/3=1/3 11-7 11/15= 10 15/15-7 11/15= 3 4/15 12-8 5 /8=11/8/8-8 5/8=3 3/8 3-1 13/14 = 2/14/14-1 13/14 = 11/14

Ответ дал: parus77
3

Ответ:

Пошаговое объяснение:

решение внизу

Приложения:
Вас заинтересует