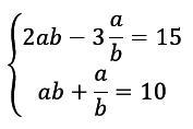
Решите систему уравнений методом замены:
Приложения:

millka2589:
подпишитесь
Ответы
Ответ дал:
10
Замена
1) x+y=10 ,x=10-y
2)2x-3y=15 , 2(10-y)-3y=15 , -5y=15-20, y=1
3)x=10-1=9
⇒ 1) a₁=3 ,b₁=3 , 2)a₂=-3,b=-3
Ответ дал:
4
Ответ:
Объяснение:
Сделайте либо a, либо b предметом формулы, а затем замените в другом уравнении, из которого вы его получили
Приложения:

Вас заинтересует
2 года назад
2 года назад
8 лет назад
8 лет назад
9 лет назад