• Предмет: Алгебра
  • Автор: VYTSHENKOVLADh
  • Вопрос задан 7 лет назад

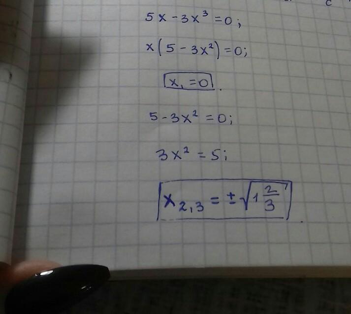
Решить уравнение:
5х - 3х3 = 0;

Ответы

Ответ дал: AmyWinnie
4

О̵̨͍̙͔̪̺͊̈̆̊͝ͅт̴̢̤̼̼̜͚͙̻̥̞̞̠̎̉̌в̶̧̡̢̛̱̹̖̤̳̼̫̩͚̺̇͛̿̆ͅе̷̭̪̙͖̹̾̈́̏̀̈́̚т̸̧̯̜̮̟͍̲̱̟̣͊̎̌́̈́͗͜͝ͅ

П̵̜̑͋͒̀̀̐̌͝ӧ̸̛̳̟̯̞̻̣͍̫͕̪́̂͑͌̾̄́̂̾̔̈́͐͠ш̴̧̣̩̝̇͛̈́͠а̷̮̩͚̝͙̹͈̏̈̐̉̐́̓͂̎̑̄̚͘͝г̴̡̧̨̝̖͍̯̖̞̮̊̑̓͗̅̒̋̐͊̎о̸̪̻̣̯̖̿в̴̡̡̢̡̛͔͎̘̼̘̖̥̖̫͌́̈́̈́͗̋́͜о̷̧̢̼͙̥̹̻͓̥͖̥̑͊̀̃̇̑̚͜е̵̹̌̈́ ̴̧̙̠͍̱̂̇̀͊̋̆͌͛͊͝о̵̧̣̪̲̗̣̜̣̗͎͖͇̟̃̓̐̽͂͒͗͝б̴̧̧̡̫̯͉̬͓͚̥̣̮̘͇̰́̈ъ̷͈̩̦̘͙̱͈͓̖̙̞̊͒͊̀̐̃̋̍̉̾͗͐̀̿̚ͅͅя̸̨̛̥̦͉̘͍̄̃͒̎͋ͅс̷̠̭͆̍̕н̴̨̣̺͈̣̱̯̮̤̰͂̈́́͒͋͗̋̓̔̄е̴͉̱̗̟̙̪̖̪̋̂̄̍̔̃͋͌̔̔͘͜ͅн̶̺̌̅͊̈́͑̿ӥ̸̧̪̫̱͓̥͚̲̟̼̫̹́͗ӗ̴͇̇̌̈͛̈́:

Приложения:
Ответ дал: OblivionFire
2

5x-3x^3=0~;\\x\cdot(5-3x^2)=0~;\\\left [ \begin{array}{ccc} x=0 \\\\ 5-3x^2=0 \end{array}\right\\-3x^2=-5\\x^2=\displaystyle\frac{5}{3} \Rightarrow x=\pm\sqrt{\frac{5}{3} } =\pm\frac{\sqrt{5}*\sqrt{3}  }{\sqrt{3}*\sqrt{3}  } =\bf\pm\frac{\sqrt{15} }{3}

Вас заинтересует
10 лет назад