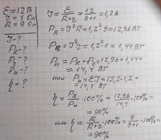
Источник тока с ЭДС 12 В и внутренним сопротивлением 1 Ом подключён к нагрузке сопротивлением 9 Ом. Найдите: 1) силу тока в цепи, 2)мощность, выделяемую во внешней части цепи, 3) мощность, теряемую в источнике тока, 4) полную мощность источника тока, 5) КПД источника тока.
Ответы
Ответ дал:
1
Ответ: 1,2 А 12,96 Вт 1,44 Вт 14,4 Вт 90%
Объяснение: См. приложение
Приложения:

Вас заинтересует
2 года назад
2 года назад
2 года назад
2 года назад
8 лет назад
8 лет назад
9 лет назад