• Предмет: Алгебра
  • Автор: vegor3823
  • Вопрос задан 7 лет назад

Помогите с Алгеброй 7 класс
Сократите Алгебраические Дроби

Приложения:

Ответы

Ответ дал: sevakazakov22
1

Ответ:

Ответ на фото.............

Приложения:
Ответ дал: Grib000089522114811
1

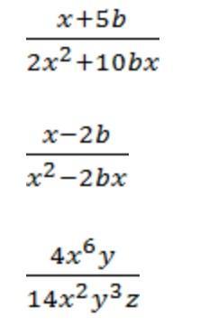
 \frac{x + 5b}{2 {x}^{2}  + 10bx}  =  \frac{x + 5b}{2x(x + 5b}  =  \frac{1}{2x} \\  \\  \frac{x - 2b}{ {x}^{2} - 2bx } =   \frac{x - 2b}{x(x - 2b}   =  \frac{1}{x}  \:  \:  \:  \:  \:  \:  \:  \:  \\  \\  \frac{4 {x}^{6}y }{14  {x}^{2}   {y}^{3} z}  =  \frac{2 {x}^{4} }{7 {y}^{2} z}  \:  \:  \:  \:  \:  \:  \:  \:  \:  \:  \:  \:  \:  \:  \:  \:  \:  \:  \:  \:  \:  \:  \:  \:  \:  \:  \:

Вас заинтересует