Ответы
Ответ дал:
2
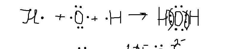
Ответ:Надеюсь понятно
Объяснение:
Приложения:




klashroyale258:
Da
Вас заинтересует
2 года назад
2 года назад
2 года назад
2 года назад
8 лет назад
9 лет назад