• Предмет: Математика
  • Автор: SyanLinLoL
  • Вопрос задан 7 лет назад

ДАЮ 100 БАЛЛОВ, СРОЧНО!!!

Приложения:

SyanLinLoL: штукснизу это f

Ответы

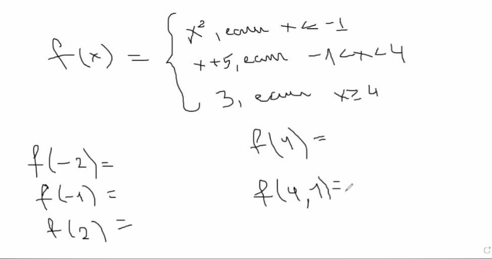
Ответ дал: arbat1508201
0

Ответ:

Пошаговое объяснение:

f(-2)=(-2)(-2)=4

f(-1)=(-1)(-1)=1

f(2)=2+5=7

f(4)=3

f(4,1)=3

Ответ дал: solomkomariia990
0

наааааа...................

Приложения:
Вас заинтересует