• Предмет: Математика
  • Автор: pkompanets011
  • Вопрос задан 7 лет назад

СРОЧНО пж у меня самостоятельная
примеры г, б,в​

Приложения:

Ответы

Ответ дал: tarasenkokamila2
0

Пошаговое объяснение:

надеюсь почерк понятен

Приложения:
Ответ дал: iramazurk
0

Ответ:

Пошаговое объяснение:

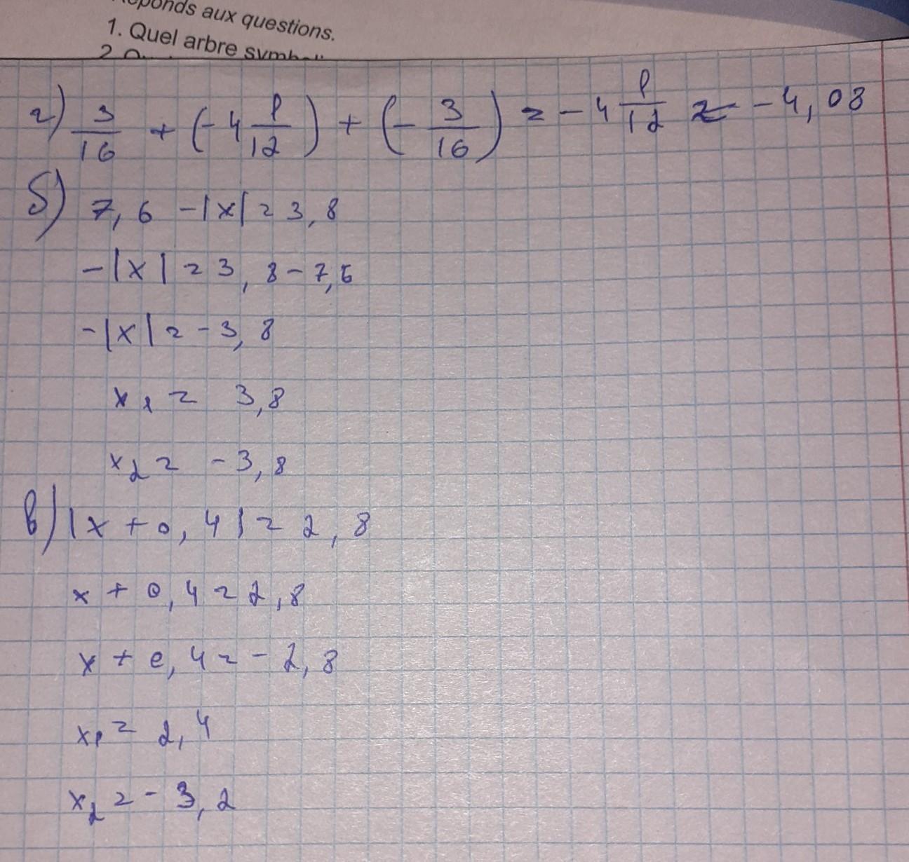
Г)

3/16 + (-4. 1/12) + (-3/16) =

3/16 - 4. 1/12 - 3/16 = -4. 1/12

Б)

7,6 - |х| = 3,8

|х| = 7,6 - 3,8

|х| = 3,8

х1 = 3,8

х2 = -3,8

В)

|х + 0,4| = 2,8

1)

х + 0,4 = 2,8

х = 2,8 - 0,4

х = 2,4

х1 = 2,4

2)

х + 0,4 = -2,8

х = -2,8 - 0,4

х = -3,2

х2 = -3,2

Вас заинтересует