• Предмет: Геометрия
  • Автор: Proreder
  • Вопрос задан 7 лет назад

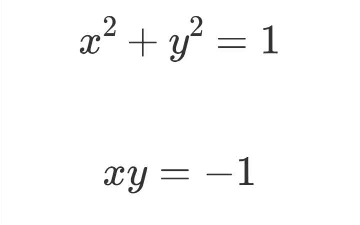
Помогите пожалуйста с объяснением

Приложения:

Ответы

Ответ дал: khil2008
1

Ответ:

-1*1

Объяснение:

Вас заинтересует