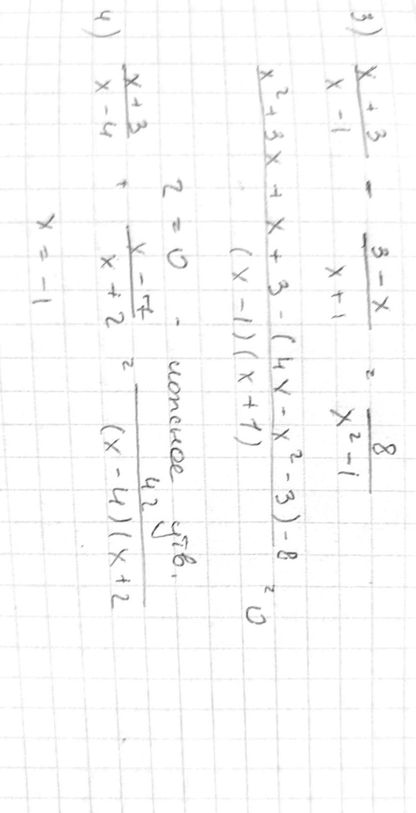
• Предмет: Алгебра
  • Автор: gvuuyv
  • Вопрос задан 7 лет назад

СРОЧНО ДАМ 50 БАЛЛОВ!!!

Приложения:

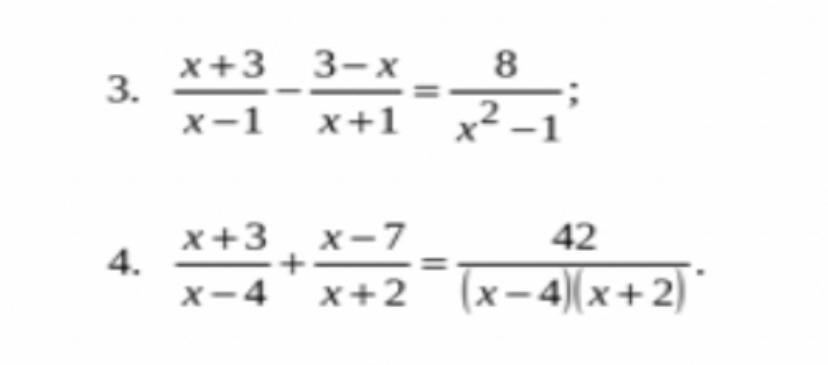
Ответы

Ответ дал: zmezohub
1

Ответ:

.............................

Приложения:
Вас заинтересует