• Предмет: Алгебра
  • Автор: kirakostuk12
  • Вопрос задан 7 лет назад

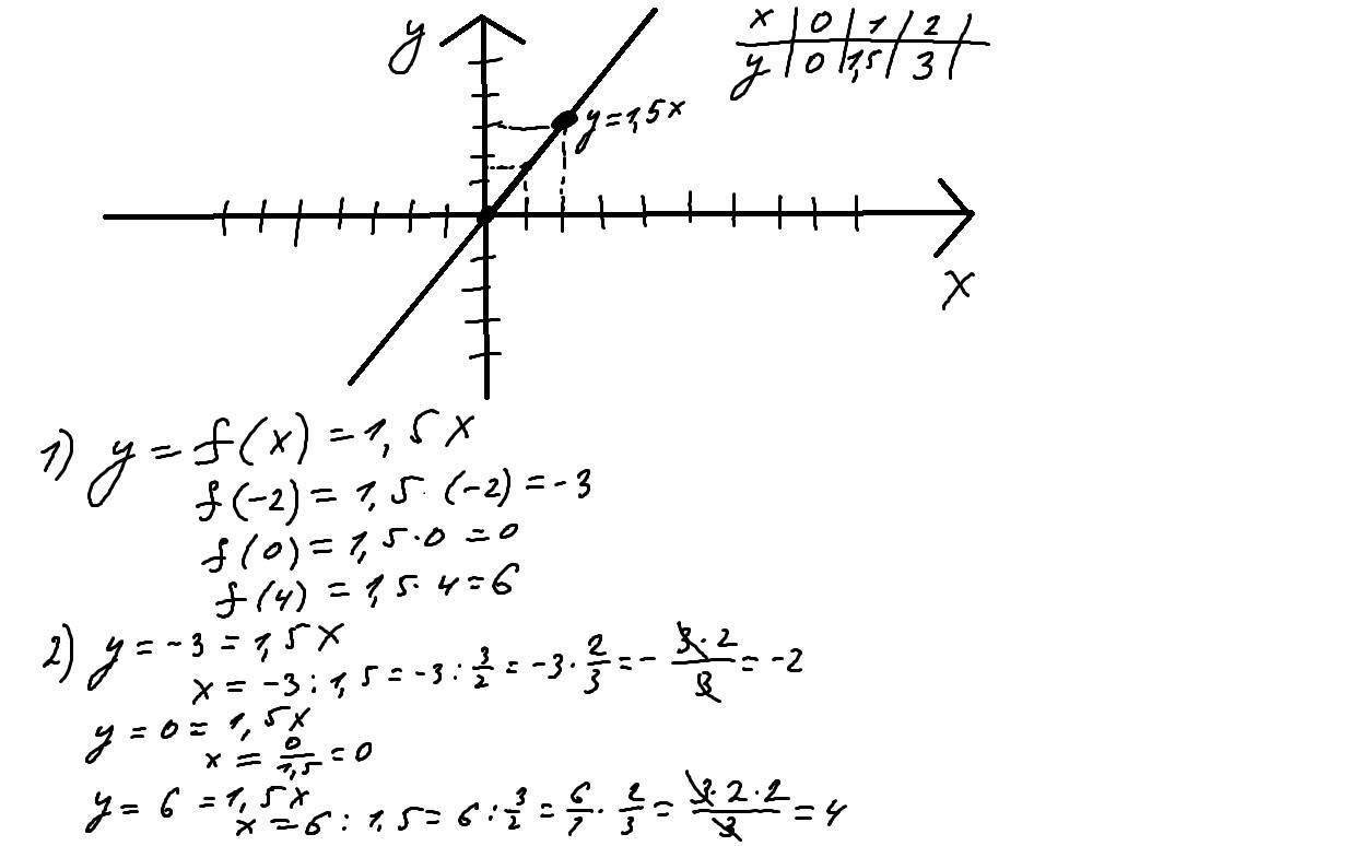
3. За графіком
797. Побудуйте графік функції у = 1,5х
знайдіть:
1) яке значення у відповідає x = -2; 0; 4;
2) якому значенню х відповідає у = -3; 0; 6;
3) нулі функції;
4) значення аргументу, при яких функція набуває додат-
них значень;
5) значення аргументу, при яких функція набуває від'єм-
них значень;
6) точки перетину графіка з осями координат.

Ответы

Ответ дал: ivanivanov200200200
0

Ответ: Полное решение представлено в прикреплённых файлах.

Объяснение:

Приложения:
Вас заинтересует