• Предмет: Алгебра
  • Автор: Аноним
  • Вопрос задан 7 лет назад

Помогите пожалуйста, очень срочно, мало времени, умоляю, помогите!
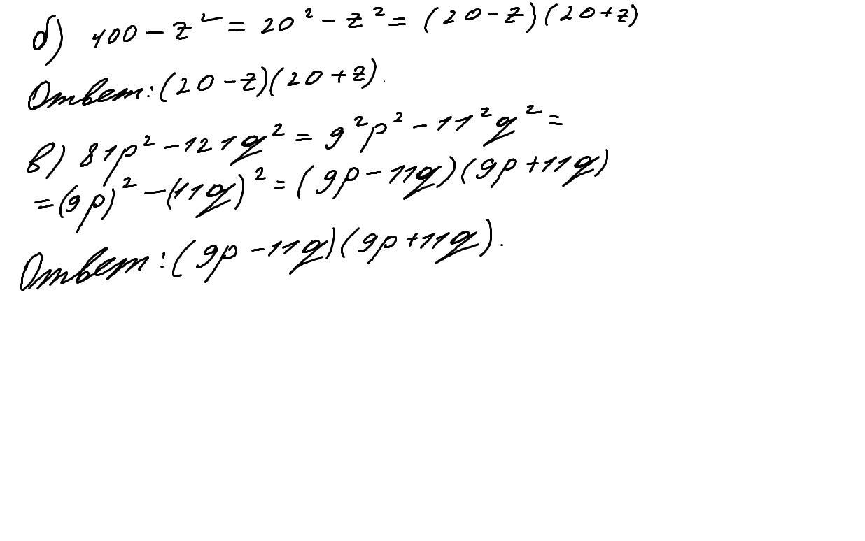
Делать нужно ТОЛЬКО б), в)​

Приложения:

Ответы

Ответ дал: ivanivanov200200200
1

Ответ: Ответ и объяснения представлены в прикреплённых файлах.

Объяснение:

Приложения:

Аноним: Спасибо!!!!
Вас заинтересует