• Предмет: Математика
  • Автор: vova2021k
  • Вопрос задан 7 лет назад

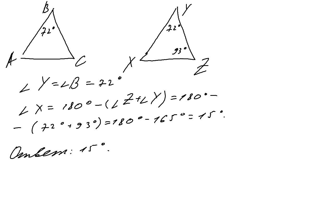
Варіант 1 1. Відомо, що АВС со XYZ. Знайдіть кут х, якщо B = 72°, Z = 93.​

Ответы

Ответ дал: ivanivanov200200200
1

Ответ: Ответ и объяснения представлены в прикреплённых файлах.

Пошаговое объяснение:

Приложения:
Вас заинтересует