• Предмет: Алгебра
  • Автор: nazartokmakov
  • Вопрос задан 7 лет назад

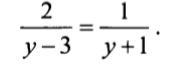
Решите через ОДЗ. Пожалуйста

Приложения:

Ответы

Ответ дал: alisegirl
0

Ответ:

2÷(y-3)=y

0.5y-1.5=y

0.5y-y=1.5

-0.5y=1.5

y=1.5÷0.5

y=3

Объяснение:

лайкните пж, мне будет приятно)

Вас заинтересует