• Предмет: Математика
  • Автор: NeKoShiRo
  • Вопрос задан 7 лет назад

РЕБЯТА ПОМОГИТЕ ПОЖАЛУЙСТА ДАМ 10 БАЛЛОВ (Я гулять хочу,а меня не отпустят пока не сделаю уроки:( )​

Приложения:

Ответы

Ответ дал: ivanivanov200200200
0

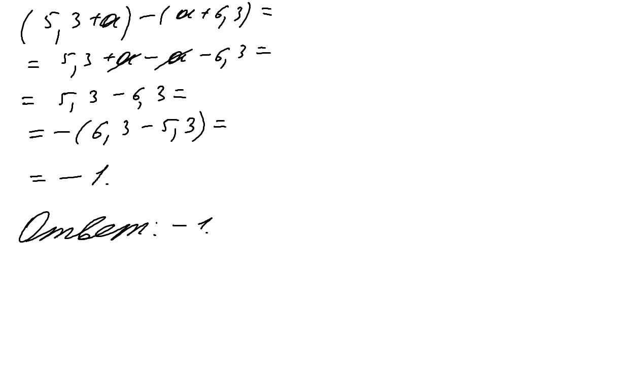
Ответ: Ответ и объяснения представлены в прикреплённых файлах.

Пошаговое объяснение:

Приложения:
Вас заинтересует