СРОЧНООО ПРОШУ !!!
Склади математичну модель за словесною:
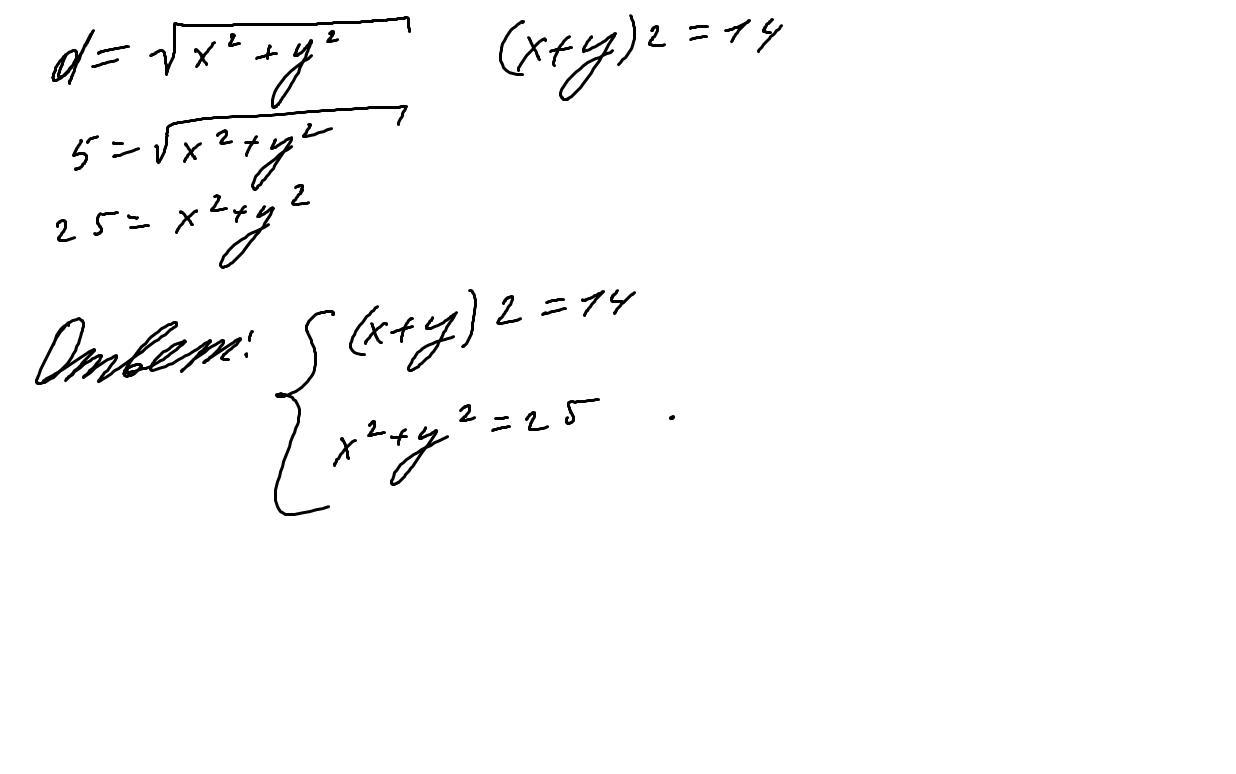
Діагональ прямокутника дорівнює 5 см, а його периметр дорівнює 14 см.
Знайди сторони прямокутника.
Обери підходящу математичну модель, позначивши довжину прямокутника см, а ширину см.
Приложения:

Ответы
Ответ дал:
0
Ответ: Ответ и объяснения представлены в прикреплённых файлах.
Объяснение:
Приложения:

prykiahsh:
СПАСИИИБООО
Вас заинтересует
2 года назад
2 года назад
2 года назад
8 лет назад