• Предмет: Алгебра
  • Автор: nazartokmakov
  • Вопрос задан 7 лет назад

Через ОДЗ. Решите, пожалуйста.

Приложения:

Ответы

Ответ дал: Kestrel07
1

Ответ:

-5

Объяснение:

Решение на картинке

Приложения:

nazartokmakov: Спасибо!
Ответ дал: Shhsbshs777
1

Ответ:

Объяснение:

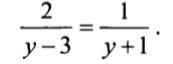
\frac{2}{y-3} =\frac{1}{y+1}  умножаем крест накрест - то есть  2  умножаем на y+1 и 1 умножаем на y-3.

2y+1=y-3\\y=-5

ну тип если не понравится , то не понравится.

ОДЗ y(игрик) не равняется 3, и y(игрик) не равняется -1

Вас заинтересует