• Предмет: Алгебра
  • Автор: dmitriym1610
  • Вопрос задан 7 лет назад

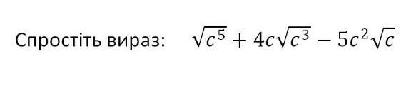
помогите.Срочно!!!!!!!​

Приложения:

Ответы

Ответ дал: kirilivaschenko72946
1

Объяснение:

Можно пожайлуста ,,Лутший ответ".

Приложения:
Вас заинтересует