• Предмет: Алгебра
  • Автор: dmitriym1610
  • Вопрос задан 7 лет назад

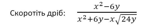
ето срочно!!!!!!!!!!!!!!!!!!​

Приложения:

Ответы

Ответ дал: Kestrel07
0

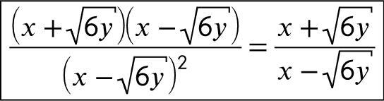
Ответ:Ответ на картинке

Объяснение:

Используем формулы сокращенного умножения. В числителе разность квадратов. А в знаменателе квадрат разности. Потом у нас числитель и знаменатель сократятся

Приложения:
Вас заинтересует