• Предмет: Алгебра
  • Автор: hejoyan19
  • Вопрос задан 7 лет назад

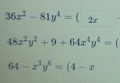
плиз сейчас! 30 баллов​

Приложения:

Ответы

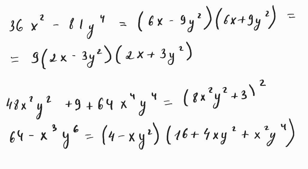
Ответ дал: Ляляляля109
1

Решение представлено на фото

Приложения:
Ответ дал: sofiazaharcuk26
0

Ответ:

3) (4-xy²) ×(16+4xy²+x²y⁴)

Вас заинтересует