помогитеи пожалуйста 3/5+0,25 и 2/5+1 1/3
arafatd984:
Нужно превратить в дробь десятичную потом сложить или наоборот?
Ответы
Ответ дал:
1
Ответ:
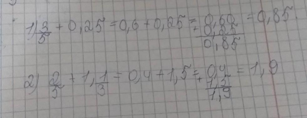
3/5 приводим к знаменателю 10
3/5 (*2 = 6/10 = 0,6
0,6+0,25=0,85
2/5 и 4/3 приводим к знаменателю 15
2/5 (*3 = 6/15
4/3 (*5 = 20/15
6/15+20/15= 26/15
Ответ дал:
1
Ответ:
ответ на фото , я не знаю но у 1 чела правильно только 1 а 2 нет так как у тебя 1 целое а он подумал 11, плюс он 2/5 перевёл как 6/15 но,2/5 переводится 4/10.
Приложения:

Вас заинтересует
2 года назад
8 лет назад
8 лет назад
9 лет назад