Ответы
Ответ дал:
1
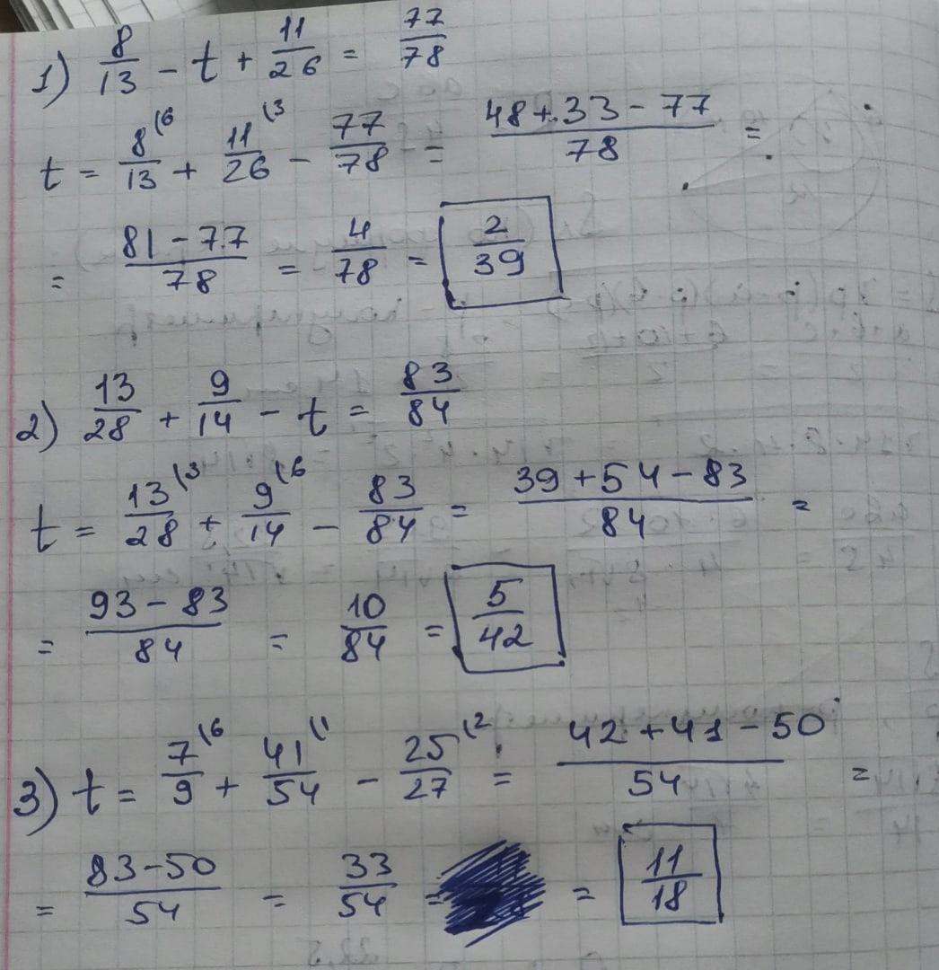
1. 16/26+11/26-t=77/78
27/26-t=77/78
27/26-77/78=t
81/78-77/78=t
4/78=t
2/39=t
2. 39/84+54/84-t=83/84
93/84-83/84=t
10/84=t
5/42=t
3.t+50/54-42/54=41/54
t+8/54=41/54
t=33/54
t=11/18
Ответ дал:
1
Доброго времени суток.
Решение во вложении.
Приложения:

Вас заинтересует
2 года назад
2 года назад
2 года назад
8 лет назад