Ответы
Ответ дал:
1
Ответ:
-0,96y² + 25
Объяснение:
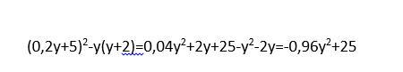
(0,2 у + 5)² - 3(y + 2) = (0,04y² + 2y + 25) - (y² + 2y) = 0,04y² + 2y + 25 - y² - 2y = -0,96y² + 25
kollan22840:
спасибо
Ответ дал:
1
Ответ:
Смотри фото ниже.
Объяснение:
(a+b)²=a²+2ab+b²
Приложения:

Вас заинтересует
2 года назад
2 года назад
2 года назад
2 года назад
8 лет назад
8 лет назад