Ответы
Ответ дал:
1
Ответ:
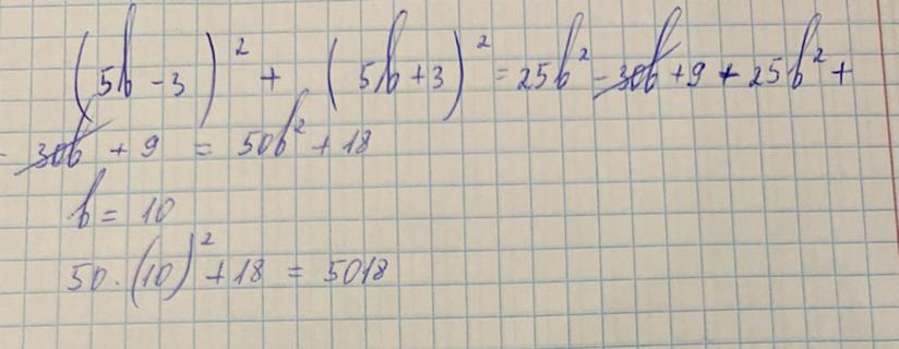
1)25b^2-30b+9+25b^2+30b+9
2)подобные: 50b^2+18
(-30b u +30b перечеркнуться)
3) поставляем: 50 × (10)^2+18= 50×100+18=5000+18=5018
welcome7297:
первое расписываеи по формуле сокращённого умножения
Ответ дал:
0
Можно «лучший ответ » ?
Приложения:

Вас заинтересует
2 года назад
2 года назад
2 года назад
2 года назад
8 лет назад
9 лет назад