• Предмет: Алгебра
  • Автор: angelinabeloysova9
  • Вопрос задан 7 лет назад

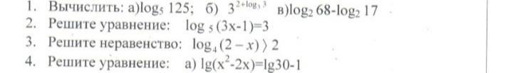
Помогите решить 1 задание и 2 по алгебре

Приложения:

Ответы

Ответ дал: maxsimus9
0

Ответ:Логарифм

125

по основанию

5

равен

3

.

3

Объяснение:см.Mathway ,эта программа поможет решать .

Вас заинтересует