ПОМОГИТЕ!!!
Разложить на Множелити:
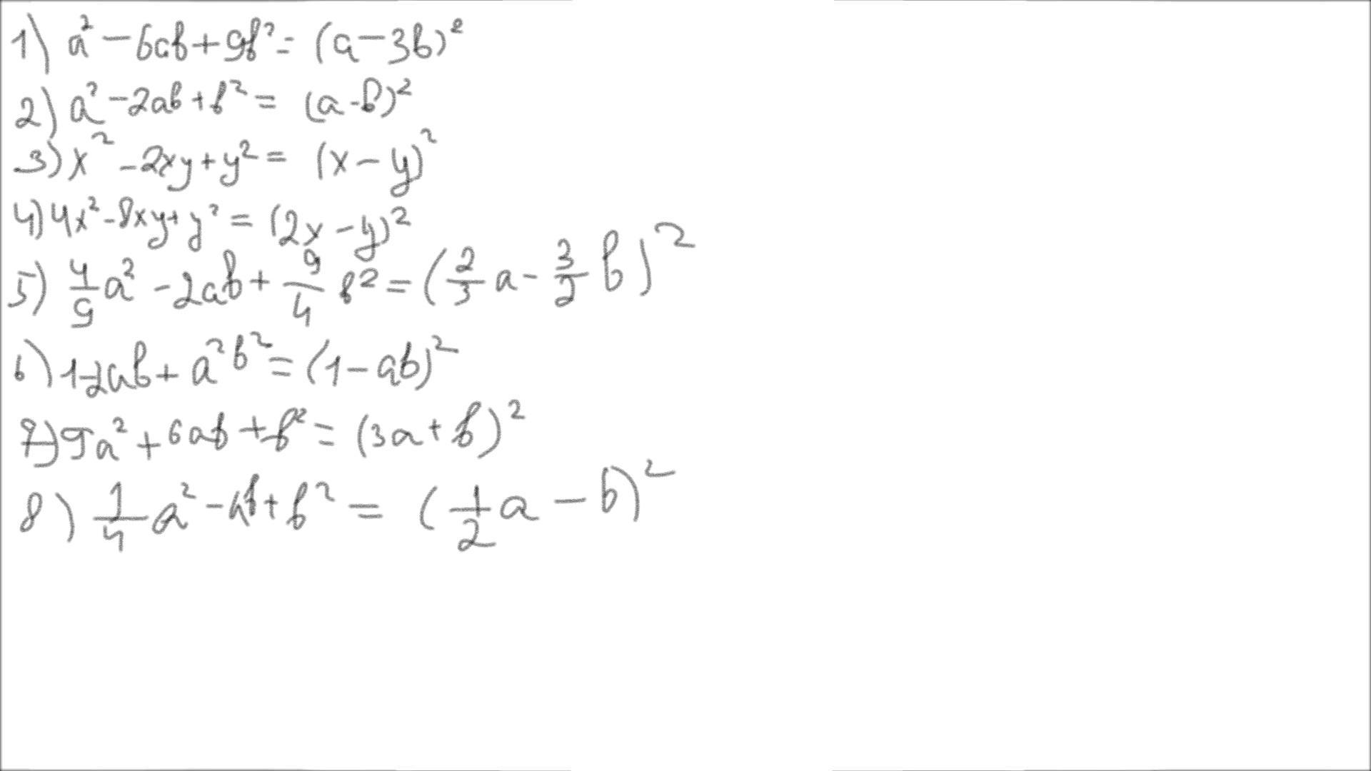
1) а²-6аb+9b²=
2) a²-2ab+b²=
3) x²-2xy+y²=
4) 4x²-8xy+y²=
5) 4\9a²-2ab+9/4b²=
6) 1-2ab+a²b²=
7) 9a²+6ab+b²=
8) 1/4a²-ab+b²=
ПРОШУ ПОМОГИТЕ!!
Даю 30 баллов
Ответы
Ответ дал:
1
Ответ:
Объяснение:
Вот
Приложения:

Ответ дал:
0
Ответ:///////////////////
Объяснение:
Приложения:

Вас заинтересует
2 года назад
2 года назад
2 года назад
2 года назад
8 лет назад
8 лет назад
9 лет назад