• Предмет: Алгебра
  • Автор: vxferckktm
  • Вопрос задан 7 лет назад

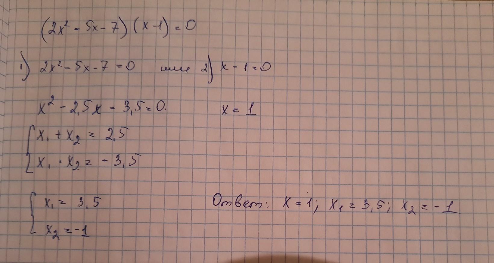
No1 Решите уравнения
а) (2x2 - 5x -7 )(х - 1 ) = 0

Ответы

Ответ дал: cor1eone
1

Доброго времени суток.

Решение во вложении.

Приложения:
Ответ дал: Alik25
1

Ответ:

1; 1,5; -1

Объяснение:

Будут вопросы - пиши. Удачи!

Приложения:
Вас заинтересует