Ответы
Ответ дал:
0
Ответ:
Пошаговое объяснение:
Приложения:

Ответ дал:
0
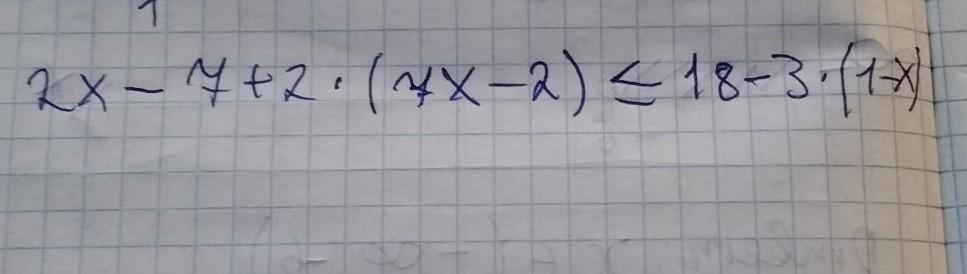
Ответ:
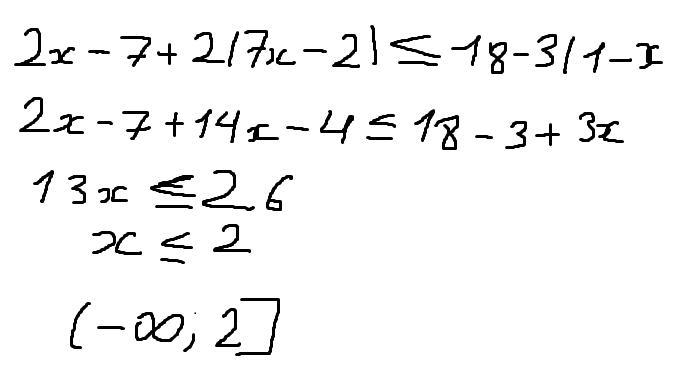
2х-7+14х-4<18-3+3х
2х+14х-3х<18-3+7+4
13х<26
х<2
Ответ: (- бесконечность,2]
двойку включаем,т.к. в неравенстве написаноменьше или равно
Вас заинтересует
2 года назад
2 года назад
2 года назад
8 лет назад
8 лет назад
9 лет назад