• Предмет: Алгебра
  • Автор: imilanacoma
  • Вопрос задан 7 лет назад

ПОМОГИТЕ РЕШИТИТЕ ПОЖАЛУЙСТА СРОЧНО ПЖ​

Приложения:

Ответы

Ответ дал: KLEBEPKA
0

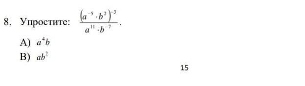
Ответ:

A) a⁴b

Объяснение:

 \frac{(a {}^{ - 5}b {}^{2}) {}^{ - 3}   }{a {}^{11}b  {}^{ - 7}  }  =  \frac{a {}^{15} b {}^{ - 6} }{a {}^{11}b {}^{ - 7}  }  = a {}^{4} b

Вас заинтересует