Гении этого приложения.Сделать только 2 номер.Кроме кучи баллов получите лучший ответ,для повышения уровня
Приложения:

Ответы
Ответ дал:
1
Ответ:
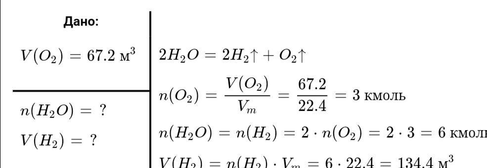
Ответ приложен на фотографии
Объяснение:
Приложения:

FakeOne1:
Фотография почему то не добавилась
Вас заинтересует
2 года назад
2 года назад
2 года назад
2 года назад
8 лет назад
8 лет назад
9 лет назад