• Предмет: Алгебра
  • Автор: sikonindmitrij
  • Вопрос задан 7 лет назад

Помогите срочно дам 100 баллов.!!!​

Приложения:

salmiii: 1)(4x+16)^2=(4x)^2+2*4x*16+16^2=16x^2+128x+256.
2)(3z-4az^2)^3=27z^3*9z^2*4az^2+3+3z*16a^2z^4-1*64a^3z^6=27z^3-108az^4+144a^2z^5-64a^3z^6.

Ответы

Ответ дал: podpisnovafish
1

Объяснение:

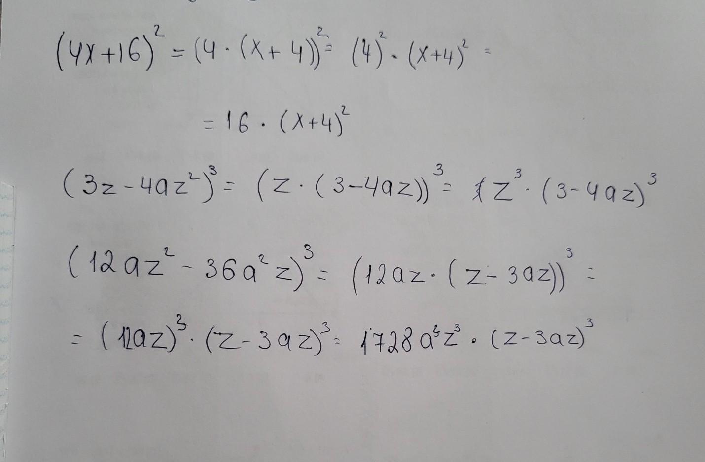
Просто выносим общий множитель, а затем возводим в квадрат/куб

Приложения:
Ответ дал: KrutayaAysu
1

Ответ:

........................................

Приложения:
Вас заинтересует