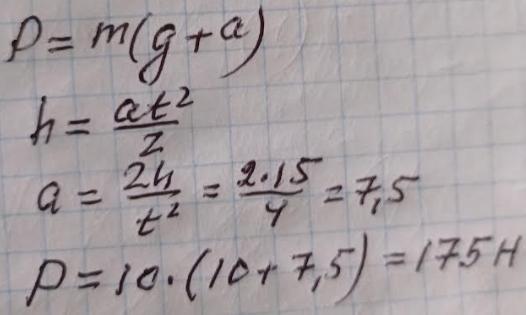
Даю максимальное количество баллов!! Груз массой 10 кг стоит на весах на полу лифта. Лифт начинает равноускоренно поднимается вверх. Что покажут весы, если лифт поднялся на 15 м в течение 2 с?
Если что вес в ньютонах измеряется
Ответы
Ответ дал:
1
Ответ: 175 Н
Объяснение: См. приложение
Приложения:
DonSERG:
помогите пожалуйста. https://znanija.com/task/47985246
Вас заинтересует
2 года назад
3 года назад
3 года назад
8 лет назад
8 лет назад
10 лет назад
10 лет назад