• Предмет: Алгебра
  • Автор: karinaserpokrylenko8
  • Вопрос задан 7 лет назад

помогите пожалуйста решить очень нужно на 11:20​

Приложения:

Ответы

Ответ дал: gavgav3445
1

Ответ:

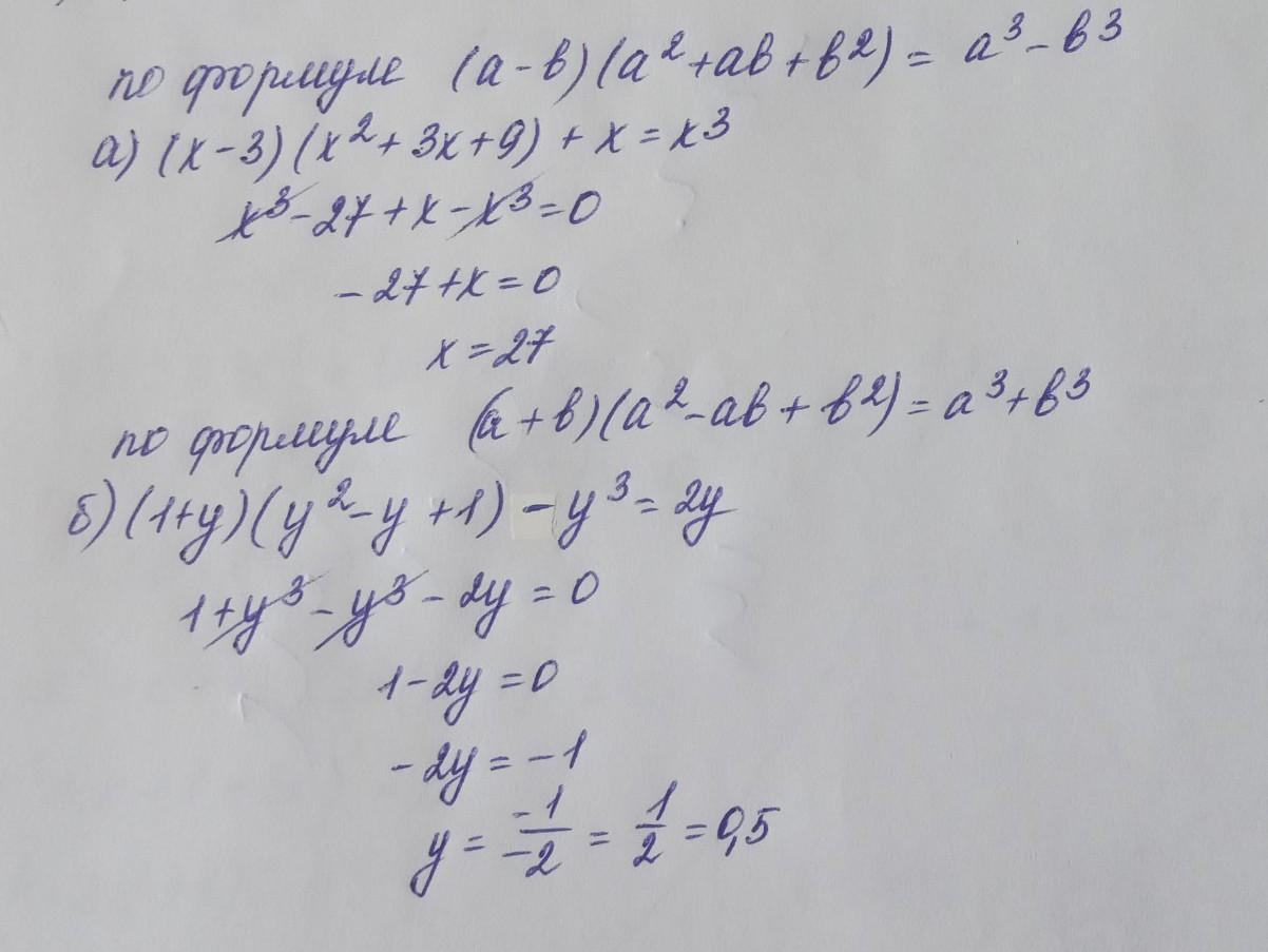
Решение представлено на прикрепленной фотографии.

Приложения:

karinaserpokrylenko8: спасибо
Вас заинтересует