• Предмет: Алгебра
  • Автор: bahramjonkamoldinov2
  • Вопрос задан 7 лет назад

Пожалуйста помогите мне​

Приложения:

Ответы

Ответ дал: dodoboris228
1

Объяснение:

Ну как так), надеюсь помогла)

Приложения:

bahramjonkamoldinov2: пасибо очень помогла
Ответ дал: КосмическийРобот
1

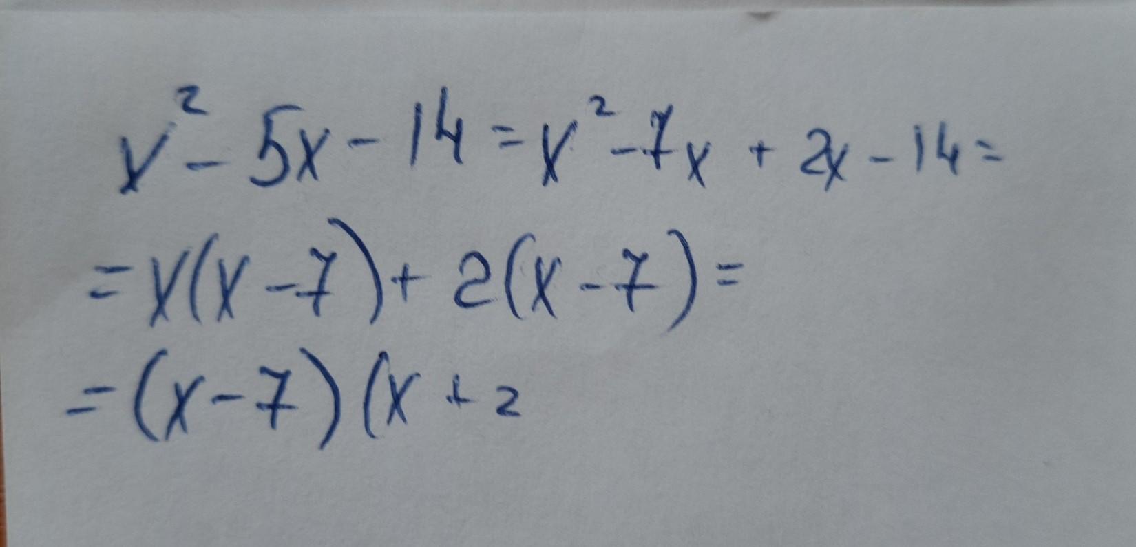
Решение :

x² - 5x - 14 = x² - 7x + 2x - 14 = x (x- 7) + 2 (x - 7) = (x-7)(x+2)

Ответ: (x-7)(x+2)

Вас заинтересует