• Предмет: Алгебра
  • Автор: alinabudkeeva1108
  • Вопрос задан 7 лет назад

Помогите решить уравнение!!

Приложения:

Ответы

Ответ дал: english57
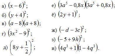
1

а) x²-12x+36

б) y²+8y+16

в) a²-64

г) 9x⁴-54x²+81

д) 64y²+8y+1/4

е) 9a¹⁰-0,64x

ё) 9у³+4у+1

ж) d²-6cd+9c²

з) 25+90h+81h²

и) (4q³+1)(4q³-1)= 16q⁶-1

Вас заинтересует