• Предмет: Математика
  • Автор: atyrau20213
  • Вопрос задан 7 лет назад

Помогите пожалуйста с математикой 6 класса страница 29 номер 856. Дам 15 лайков

Ответы

Ответ дал: chasermyber
0

Пошаговое объяснение:

что за учебник хоть уточни

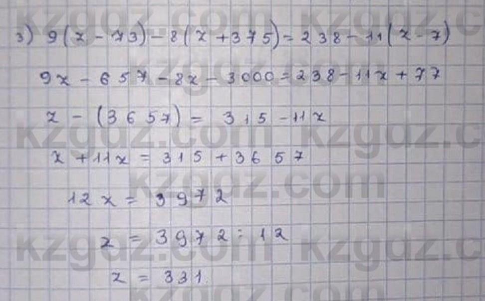
Ответ дал: dikotikkotik
0

ответ на фото..................

Приложения:
Вас заинтересует