• Предмет: Математика
  • Автор: tanya11037
  • Вопрос задан 7 лет назад

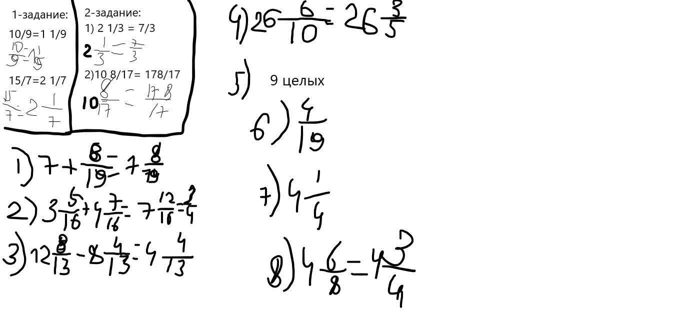
помогите пж со 2 и 3​

Приложения:

Ответы

Ответ дал: kringerrrr
1

Ответ:

2.

1) 7\6

2) 178\17

Пошаговое объяснение:


tanya11037: Спасибо, но мне надо с решением
kringerrrr: а там нет решения
Ответ дал: kamalbekjansulu
0

приветики! я тебе наверно помогу...

ответ

на закрепе

можно лучший ответик плиз!

Приложения:
Вас заинтересует