• Предмет: Алгебра
  • Автор: matveyd13330525
  • Вопрос задан 7 лет назад

помогите пожалуйста!!​

Приложения:

Ответы

Ответ дал: balgynbaiamina
1
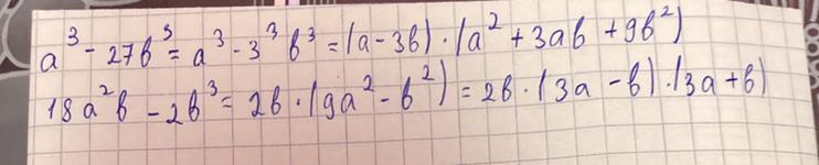
Решение в фото это правильно!
Приложения:
Вас заинтересует