zxczxczxczxczzxzxcuzsu
Приложения:

mishkafrede22u2:
Правильный ответ на данное задание содержится в онлайн-консультации. Воспользуйтесь достоверной информацией при выполнении задания.
Ответы
Ответ дал:
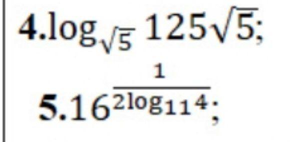
4
Ответ:
Объяснение:
---------------------------
формулы:
Вас заинтересует
2 года назад
8 лет назад
8 лет назад
9 лет назад