Ответы
Ответ дал:
1
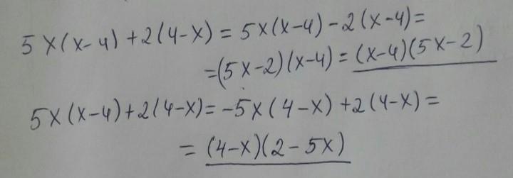
....................
Приложения:

jasserrana01:
спасибо
Вас заинтересует
2 года назад
2 года назад
2 года назад
2 года назад
8 лет назад
8 лет назад
9 лет назад