Ответы
Ответ дал:
1
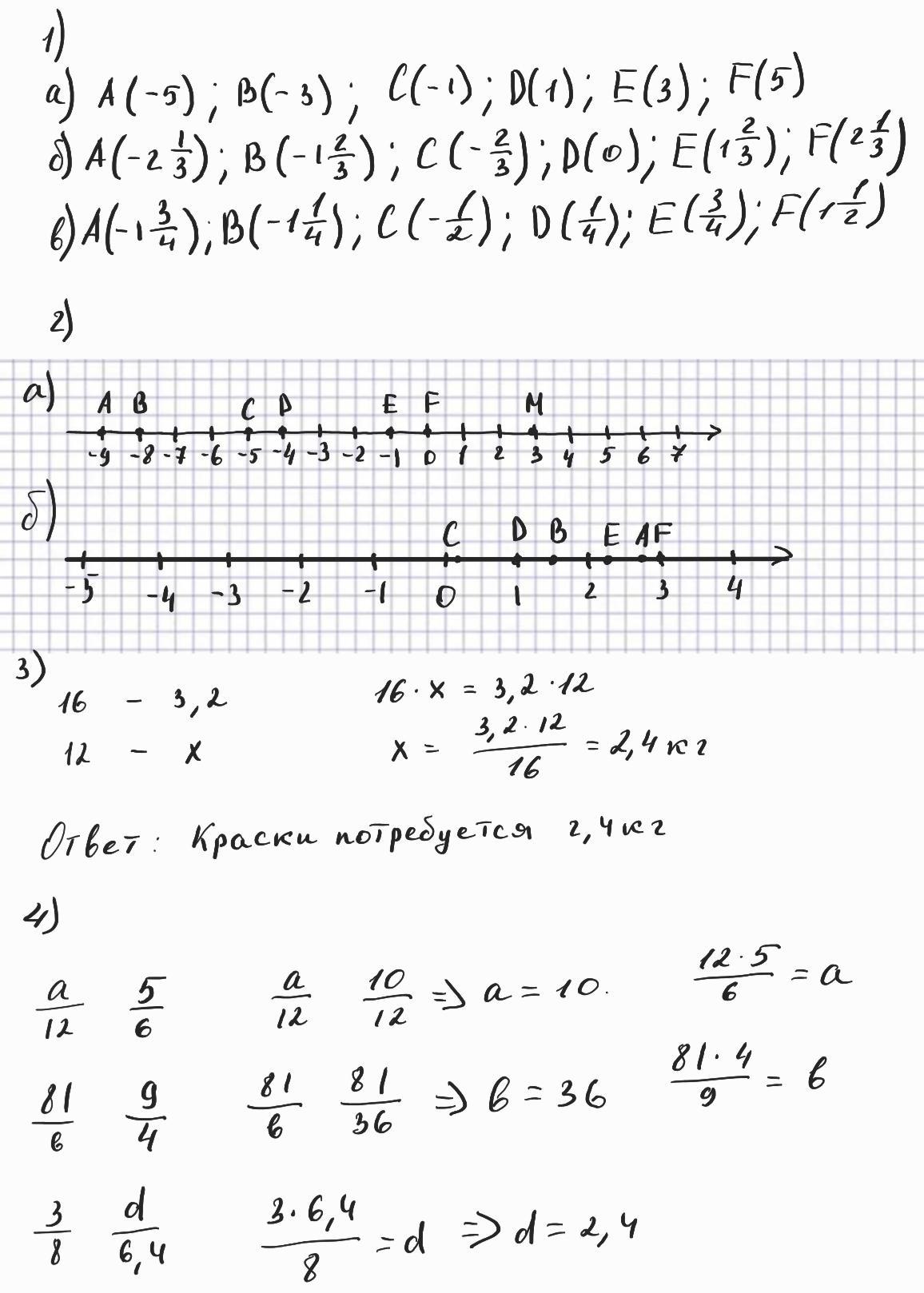
Все решение представлено на фото
Приложения:

romanturkin70709:
спасибо тебе добрый человек
Вас заинтересует
2 года назад
2 года назад
2 года назад
2 года назад
8 лет назад
8 лет назад
9 лет назад