• Предмет: Алгебра
  • Автор: gleb78186
  • Вопрос задан 7 лет назад

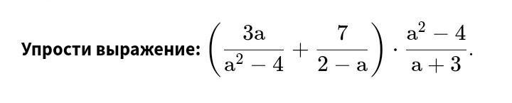
Упрости выражение: Пожалуйста нодо очень быстро!!! ​

Приложения:

Ответы

Ответ дал: Аноним
0

Ответ: (-4а-14)/(а+3)

Объяснение:

перепишем так

1) 3а/((а-2)*(а+2))-7/(а-2)=(3а-7*(а+2))/((а-2)*(а+2))=(3а-7а-14))/((а-2)*(а+2))=

(-4а-14)/(а²-4);

2)((-4а-14)/(а²-4))*((а²-4)/(а+3))=(-4а-14)/(а+3)

Ответ дал: Universalka
0

\displaystyle\bf\\\Big(\frac{3a}{a^{2}-4 } +\frac{7}{2-a} \Big)\cdot\frac{a^{2} -4}{a+3} =\Big(\frac{3a}{(a-2)(a+2 )} -\frac{7}{a-2} \Big)\cdot\frac{a^{2} -4}{a+3} =\\\\\\=\frac{3a-7\cdot(a+2)}{a^{2} -4} \cdot\frac{a^{2}-4 }{a+3} =\frac{3a-7a-14}{a+3} =-\frac{4a+14}{a+3}

Вас заинтересует