• Предмет: Алгебра
  • Автор: kamilla200826
  • Вопрос задан 7 лет назад

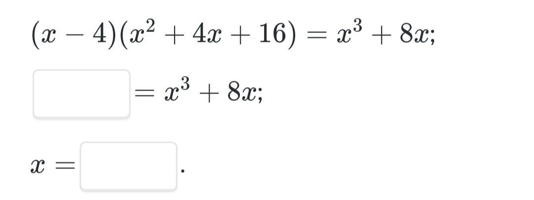
Запиши пропуски в решении уравнений.

Пожалуйстыы

Приложения:

Ответы

Ответ дал: KrutayaAysu
1

Ответ:

х³-64= х³+8х

х= -8

.....

Приложения:

kamilla200826: Спасибо
Вас заинтересует