35 БАЛЛОВ ДАЮ ПОМОГИТЕ!!!!
Приложения:

photoshopavataria011:
Я канеш не математик, но считаю что будет просто 23
в профиль
Ответы
Ответ дал:
0
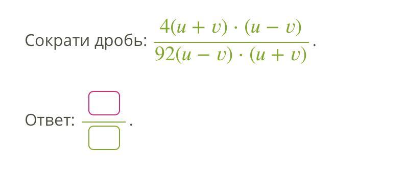
Ответ:
1/23 сверху 1, снизу 23
Объяснение:
все сокращается остается дробь 4/92 это = 1 / 23
Ответ дал:
0
Ответ:
1/23
Объяснение:
закреслюємо букви і скорочуємо 92 і 4 на 4 все
Вас заинтересует
2 года назад
2 года назад
8 лет назад
8 лет назад