• Предмет: Математика
  • Автор: umidasunnatullaeva24
  • Вопрос задан 7 лет назад

помогите пожалуйста срочно это уравнения ​

Приложения:

Ответы

Ответ дал: nazerkezajpulla
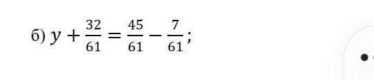
1

Ответ:

 \frac{45}{61}   -  \frac{7}{61}  =  \frac{38}{61}

y +  \frac{32}{61}  =  \frac{38}{61}

y =  \frac{38}{61}  -  \frac{32}{61}

y =  \frac{6}{61}

Вас заинтересует