• Предмет: Алгебра
  • Автор: bafls
  • Вопрос задан 7 лет назад

РЕШИТЕ ПОЖАЛУЙСТА!!!!!!

Приложения:

Ответы

Ответ дал: beznika2502ss
1

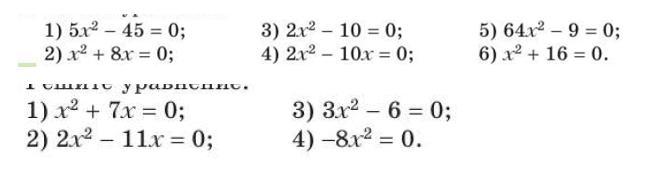
1) 5х²-45=0

5х²=45

х²=9

х=±3

2)х²+8х=0

х(х+8)=0

х=0 или х+8=0

. х=-8

3)2х²-10=0

2х²=10

х²=5

х=±√5

4)2х²-10х=0

2х(х-5)=0

2х=0 или х-5=0

х=0. х=5

5)64х²-9=0

64х²=9

х²=3/8

х=±√3/8

6)х²+16=0

х²=-16

корней нет

1)х²+7х=0

х(х+7)=0

х=0 или х+7=0

. х=-7

2)2х²-11х=0

2х(х-5,5х)=0

2х=0 или. х-5,5=0

х=0. х=5,5

3)3х²-6=0

3х²=6

х²=2

х=±√2

4)-8х²=0

х²=0

х=0

Вас заинтересует