• Предмет: Алгебра
  • Автор: Dipper3242
  • Вопрос задан 7 лет назад

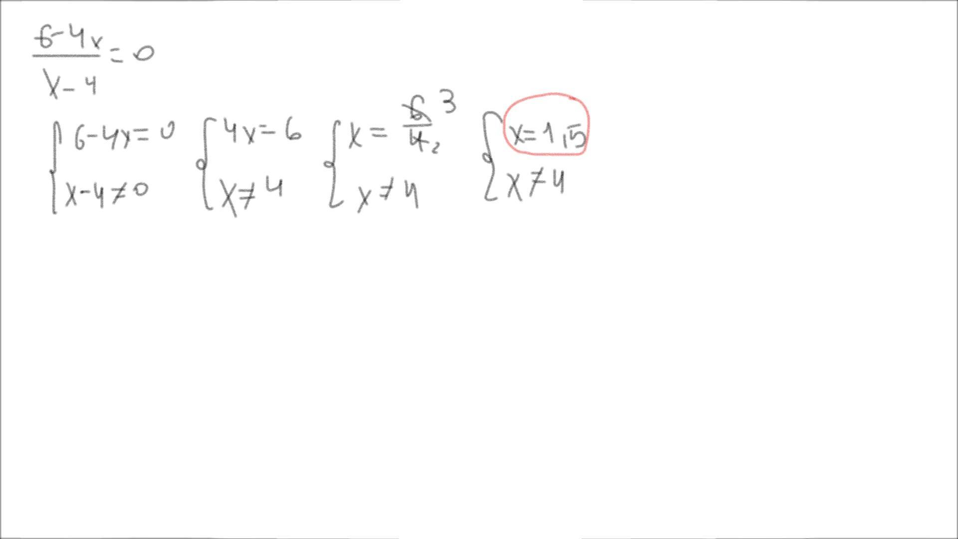
(6 - 4x) : (х - 4) = 0

Ответы

Ответ дал: daryushkadari
1

Ответ:

Объяснение:1.5

Приложения:
Вас заинтересует