Ответы
Ответ дал:
1
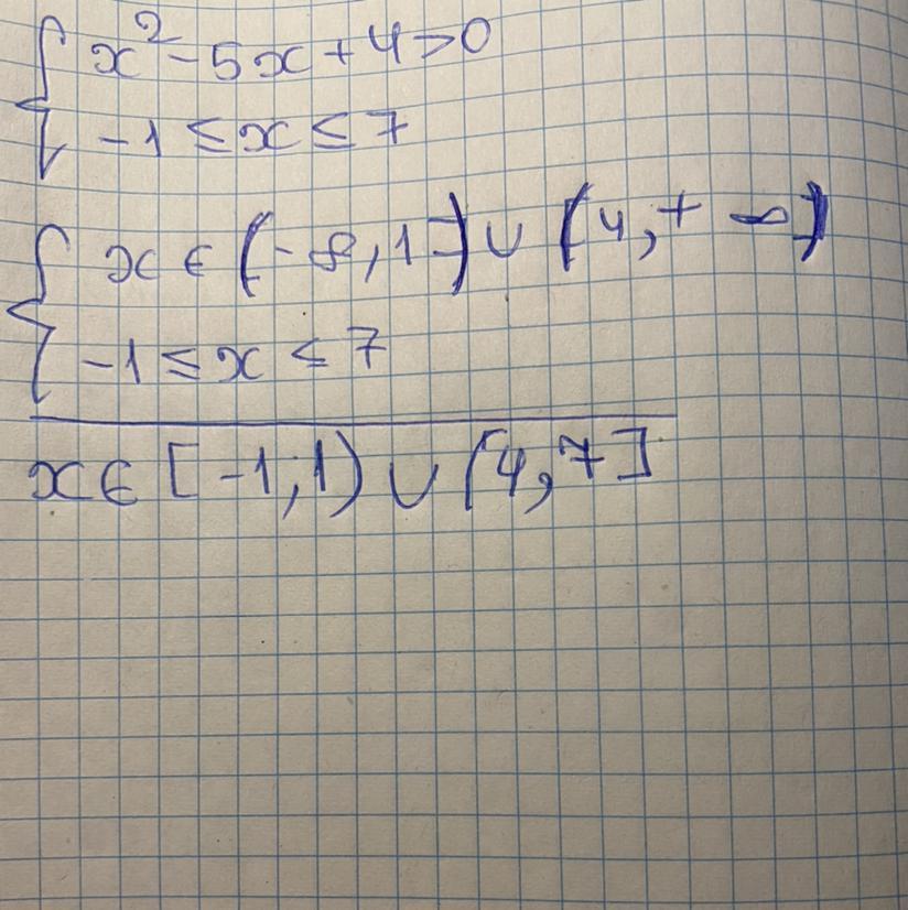
Вот решение …)).).).).)
Приложения:

Вас заинтересует
2 года назад
2 года назад
2 года назад
8 лет назад